criteri di verifica travi rastremate
Le verifiche di resistenza sono condotte secondo quanto previsto in EC5-2025 §8.3. (EN 1995-1-1:2025)
Per le travi a doppia rastremazione in particolare viene applicato anche quanto previsto al §8.3.4.
CRITERI DI VERIFICA

EC5-2025 fig. 8.9
angolo di rastremazione α = angolo di rastremazione all'estradosso (valore massimo nel caso di multipla rastremazione).
- controllo angolo di rastremazione:
le verifiche sono valide per angoli di rastremazione α≤ 15° [EC5 §8.3.3 (5)]
- verifiche a flessione:
Vengono calcolate le tensioni a flessione all'intradosso (parallelo alle fibre, 0) e estradosso sagomato (α) lungo tutta la trave in base alle dimensioni variabili della sezione

l'influenza della sagomatura all'estradosso detta trave è tenuta in conto mediante la riduzione della resistenza di progetto [8.52] attraverso il parametro kmα [8.53-55]:

- per bordo rastremato in trazione [8.53]:

- per bordo rastremato in compressione [8.55]:

dove kτ,c = 1.5 [8.56]
Per il bordo parallelo alle fibre (intradosso) la verifica è condotta come previsto per le travi a sezione costante.
- verifiche di instabilità flessionale:
nelle verifiche al bordo rastremato (compresso) non si è tenuto conto degli effetti di instabilità flessionale in sovrapposizione al fattore km,α, come indicato in EC5-5025 §8.3.3 (4).
- verifiche tensioni di trazione trasversale:
al bordo rastremato viene verificato che le tensioni di trazione normale alle fibre generate dalla flessione siano inferiori alle resistenze di progetto:

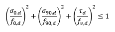
- verifiche sovrapposizione tensioni parallele alle fibre, trasversali e da taglio:
con la riduzione della resistenza di progetto attraverso il parametro kmα (verifica a flessione) si includono anche gli effetti di sovrapposizione delle tensioni (metodo approssimato).
In aggiunta viene eseguita la verifica delle tensioni composte secondo la formulazione di sovrapposizione:

dove:

- verifiche tensioni zona di apice
1. verifica a flessione secondo la [8.58] e la [8.60]:


(per travi a doppia rastremazione kr=1.0 [§8.3.4.1 (6)])
2. verifica trazione trasversale secondo la [8.67]:

3. verifica taglio-flessione secondo la [8.70]:

- verifiche a taglio:
vengono condotte lungo tutta la lunghezza della trave considerando l'altezza variabile h(x)